1st Bihar Published by: First Bihar Updated Mar 23, 2026, 10:43:26 PM
घर में जश्न का माहौल - फ़ोटो सोशल मीडिया
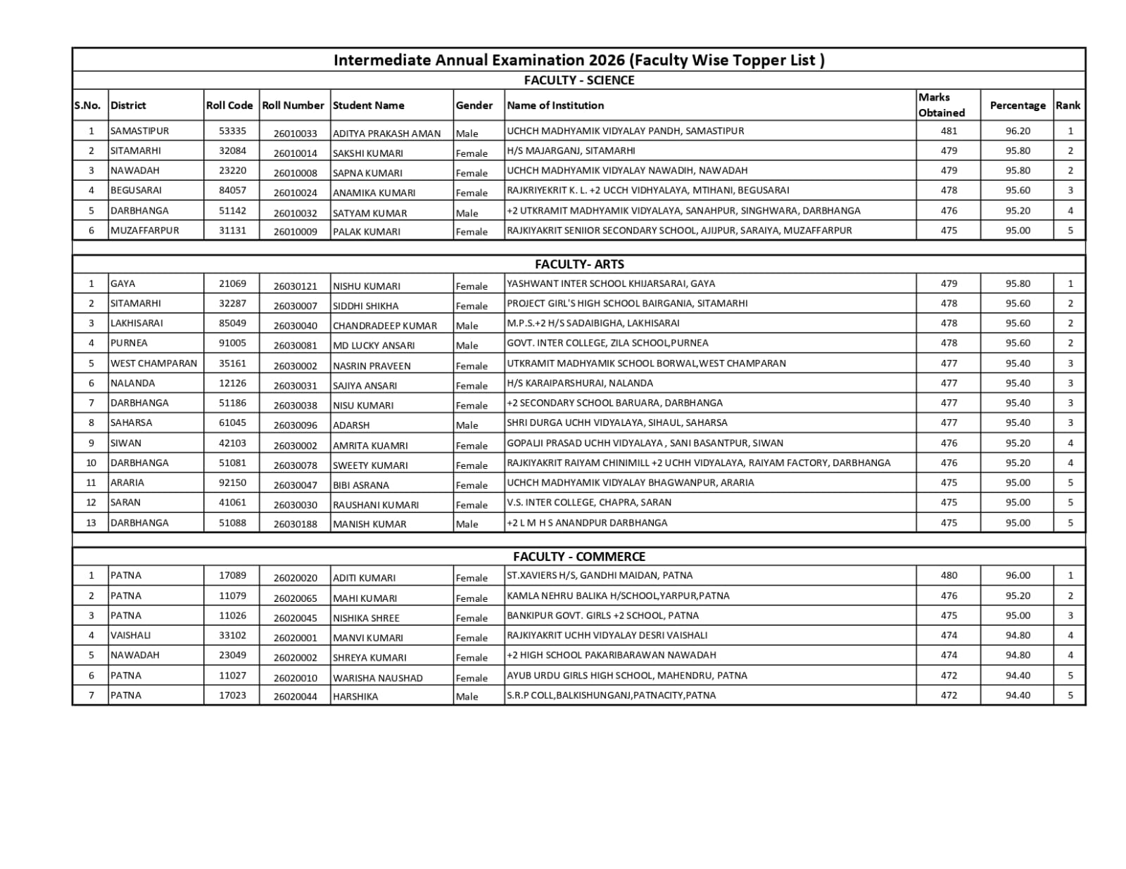
SITAMARHI: सीतामढ़ी की दो बेटियों ने जिले का नाम रोशन करने का काम किया है। सीतामढ़ी की होनहार छात्रा सिद्धि सिखा ने इंटरमीडिएट परीक्षा में शानदार प्रदर्शन करते हुए पूरे बिहार में आर्ट्स संकाय में सेकंड स्टेट टॉपर बनकर जिले का नाम रोशन किया है। वही साक्षी साइंस में सेकंड टॉपर बनकर जिले का सम्मान बढ़ाया है। दोनों के घर में खुशी का माहौल देखने को मिल रहा है। इन बेटियों पर परिवार गर्व महसूस कर रहा है।
सिखा प्रोजेक्ट गर्ल हाई स्कूल, जौहरीमल की छात्रा हैं और उनके पिता प्रशांत कुमार हैं। अपनी कड़ी मेहनत, लगन और अनुशासन के दम पर उन्होंने यह मुकाम हासिल किया है।उनकी इस उपलब्धि से स्कूल, परिवार और पूरे जिले में खुशी की लहर है।
शिक्षकों ने उनकी सफलता को प्रेरणादायक बताते हुए कहा कि सिद्धि ने यह साबित कर दिया है कि मेहनत और लक्ष्य के प्रति समर्पण से किसी भी ऊंचाई को हासिल किया जा सकता है। सिद्धि सिखा ने अपनी सफलता का श्रेय अपने माता-पिता और शिक्षकों को दिया है। उन्होंने कहा कि आगे भी वह इसी तरह मेहनत कर अपने सपनों को साकार करना चाहती हैं। उनकी इस उपलब्धि पर जिले के गणमान्य लोगों और शिक्षा जगत से जुड़े लोगों ने बधाई दी है।

